HIRLAM at (Toon's) HOME

HIRLAM@HOME

Op 1 april 2024 ging ik met pensioen en eindigde mijn loopbaan bij het KNMI. Het instituut staat mij nog enige tijd toe data te gebruiken om de HIRLAM verwachtingen mee aan te sturen.

Dit is een EXPERIMENTELE versie van HIRLAM, het weersverwachtingsmodel (dat wil zeggen, computer programma) dat het weer boven Nederland uitrekent voor de komende 48 uur.

Het rekengebied: Land/zee kaart (om uit te vergroten) [hoe deze te maken]. Hoogtekaart (om uit te vergroten) [hoe deze te maken]; de kleurstelling in deze kaart wordt bepaald door het cubehelix algoritme. Hulpmiddelen: LONLAT.def en getfield.

Ontwikkeling van deze experimentele HIRLAM berekeningen. Onderbrekingen.

Het experimentele karakter betekent onder meer dat niet op de aanwezigheid van deze informatie vertrouwd kan worden, noch op de nauwkeurigheid ervan.

Het gaat hier om voorbeelden van ALGEMENE VERWACHTINGEN, niet om gespecialiseerde verwachtingen voor specifieke afnemers van het KNMI of waarschuwingen.

Verwachtingen voor de waterschappen in Nederland

Traditioneel gaf het KNMI weersverwachtingen uit voor 6 regio's in Nederland: noord-west, zuid-west, midden, noord-oost, oost en zuid-oost. In het verleden, met het HIRLAM rekenend op een rooster van 0,5x0,5 graad (55 km) betekende dit een prikwaarde uit het model per regio.

Met het gebruik van het 0,05x0,05 graads HIRLAM (5,5 km) kunnen we iets beters doen, namelijk een gebied van roostervierkanten nemen als representatief voor een waterschap. Dit maakt het mogelijk de spreiding van verwachtingswaarden in het waterschap mee te wegen in de op te stellen verwachting. Voor een waterschap is dat een 5x5 gebied van roostervierkanten, voor een stad 3x3 en voor een locatie (meetmast Cabauw) ook een gebied van 3x3 roostervierkanten (dit laatste voornamelijk om het weer in de omgeving van de mast in beeld te brengen).

Vier maal per dag wordt de verwachting aangepast aan nieuwe meetgegevens (die rond 00, 06, 12 en 18 UTC). Daarna wordt een weersverwachting van 6 uur gemaakt om de toestand van de atmosfeer te berekenen voor de volgende aanpassing. De 18 UTC verwachting wordt verlengd tot 54 uur, om het weer voor de komende twee dagen te berekenen.

Verklaring van de grafieken en tabellen

Allereerst volgen animaties van weerselementen gedurende de verwachtingstermijn over het gehele rekengebied. Dit geeft een overzicht van de synoptische situatie en het daaraan gerelateerde weer.

Vervolgens wordt één maal per dag (op basis van de 18 UTC verwachting) het weercijfer voor de volgende twee dagen ("vandaag" en "morgen") verwacht.

Dan volgt een tabel met de tekstuele uitvoer van de berekeningen die nodig zijn om de vier-maal-daagse aanpassing van de atmosferische gesteldheid te maken, alsmede kaarten van de verwerkte waarnemingen.

Daarna worden verschillende verificatieresultaten weergegeven.

Tenslotte volgen grafieken van weersverwachtingen per locatie/waterschap, die gegoten zijn in de vorm van een tijdreeks, waarin niet alleen het gebiedsgemiddelde, maar ook de spreiding (via de standaarddeviatie) en het maximum en minimum gegeven worden. Tevens zijn de tabellen van de bijbehorende getallen gegeven.

NB: Een tijdstip in UTC (in het Nederlands aangeduid als gecoördineerde wereldtijd) is onafhankelijk van zomer- of wintertijd. Gedurende de wintertijd is de tijd in Nederland het tijdstip in UTC +1 uur, in de zomertijd +2 uur.

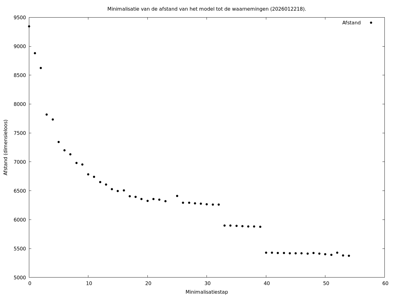
Verwachting vanaf 2026012218 UTC

Landgebruikgegevens aan het begin van de verwachting
PNG PS Hoe wordt deze kaart gemaakt Hoe wordt landgebruik bepaald

Animaties

Lokaal
'Neerslagradar' Bewolking Zicht Wind
Temperatuur Latente Warmte Voelbare Warmte
Klassiek
Luchtdruk en wind Straalstroom en hoogte 500hPa vlak
Bewegings- en potentiële energie
Windsnelheid Windstoten Convective Available Potential Energy
Waterhuishouding
Wolken Neerslag/Soort Zicht Sneeuwhoogte
Opwarming en afkoeling
Temperatuur Latente warmtestroom Voelbare warmtestroom
'Satelliet' beelden
Wolkentoptemperatuur Waterdamp Waterdamp met wolkencorrectie Wolkenwater fractie

Weercijfers

Locatie/Waterschap Breedtegraad Lengtegraad Tijdzone Roostercellen Vandaag Morgen
MeetmastCabauw 51.970 4.926 1 3 x 3 6 8 - 9
AaEnMaas 51.7 5.6 1 5 x 5 6 8
AmstelGooiEnVecht 52.3 5.2 1 5 x 5 5 - 6 7 - 8
BrabantseDelta 51.6 4.7 1 5 x 5 6 8
DeDommel 51.5 5.1 1 5 x 5 6 8 - 9
Delfland 51.9 4.5 1 5 x 5 6 8 - 9
DeStichtseRijnlanden 52.1 5.2 1 5 x 5 6 7 - 9
DrentsOverijselseDelta 52.2 6.1 1 5 x 5 6 8
HollandseDelta 51.8 4.4 1 5 x 5 6 8 - 9
HollandsNoorderkwartier 52.7 4.8 1 5 x 5 5 - 6 7
HunzeEnAas 53.1 6.9 1 5 x 5 6 4 - 5
NoorderZijlvest 53.3 6.5 1 5 x 5 6 4 - 5
RijnEnIJssel 52.1 6.5 1 5 x 5 5 - 6 8
Rijnland 52.3 4.6 1 5 x 5 6 - 7 7 - 9
Rivierenland 51.8 5.2 1 5 x 5 6 8 - 9
ScheldeStromen 51.5 3.8 1 5 x 5 5 - 6 8 - 9
SchielandEnKrimpenerwaard 51.9 4.5 1 5 x 5 6 8 - 9
ValleiEnVeluwe 52.2 5.7 1 5 x 5 6 7 - 8
VechtStromen 52.6 6.7 1 5 x 5 5 - 6 5 - 7
WaterschapLimburg 51.4 6.0 1 5 x 5 6 - 7 8 - 9
WetterskipFryslan 53.2 5.8 1 5 x 5 6 5 - 7
Zuiderzeeland 52.6 5.5 1 5 x 5 5 - 6 7 - 8
Leverkusen 51.0 7.0 1 3 x 3 6 8 - 9
Copenhagen 55.67 12.56 1 3 x 3 4 - 5 5
L-Anse-aux-Meadows 51.6 -55.5 -4 3 x 3 6 - 8 4 - 6
Reading 51.45 -0.97 0 3 x 3 4 - 5 5 - 6
Exeter 50.75 -3.51 0 3 x 3 4 2
Madrid 40.40 -3.75 1 3 x 3 5 - 6 5 - 6
Dublin 53.376 -6.270 0 3 x 3 3 3 - 4
Moscow 55.75 37.6 3 3 x 3 9 8 - 9
EastJerusalem 31.75 35.21 2 3 x 3 10 9 - 10

Logs van de berekeningen en overzicht van de waarnemingen

00 UTC
20260122020718 UTC Ingekomen waarnemingen -3H PNG PS -2H PNG PS -1H PNG PS +0H PNG PS +1H PNG PS +2H PNG PS GebruiktRedundantVerworpen
20260122035710 LOG Verwerking ASCAT -3H PNG PS -2H PNG PS -1H PNG PS +0H PNG PS +1H PNG PS 215642562
Effect waarnemingen Verwerking AIREP/AMDAR -3H PNG PS -2H PNG PS -1H PNG PS +0H PNG PS +1H PNG PS +2H PNG PS 106954
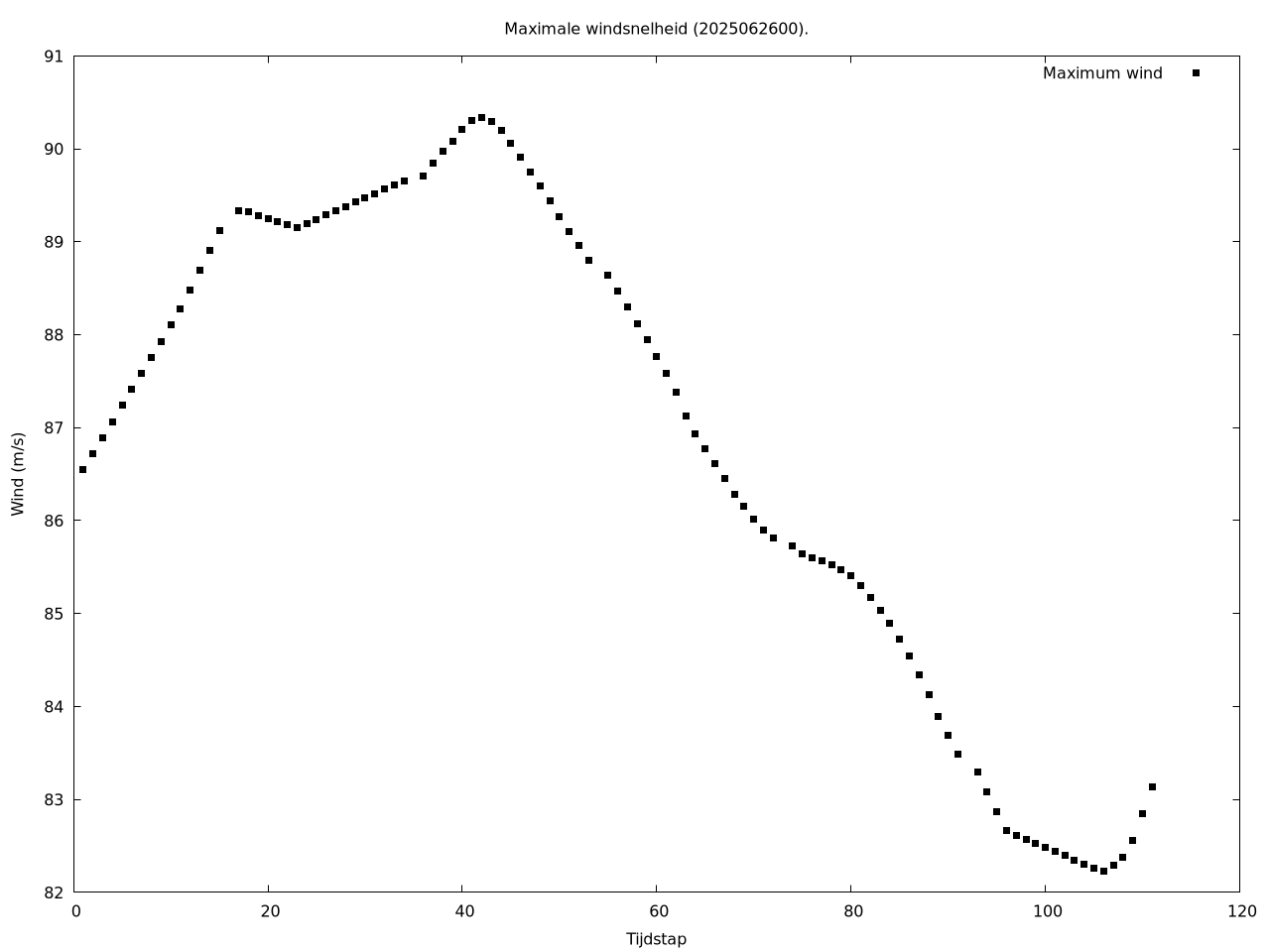
Druktendens Verwerking TEMP/PILOT +0H PNG PS 11511
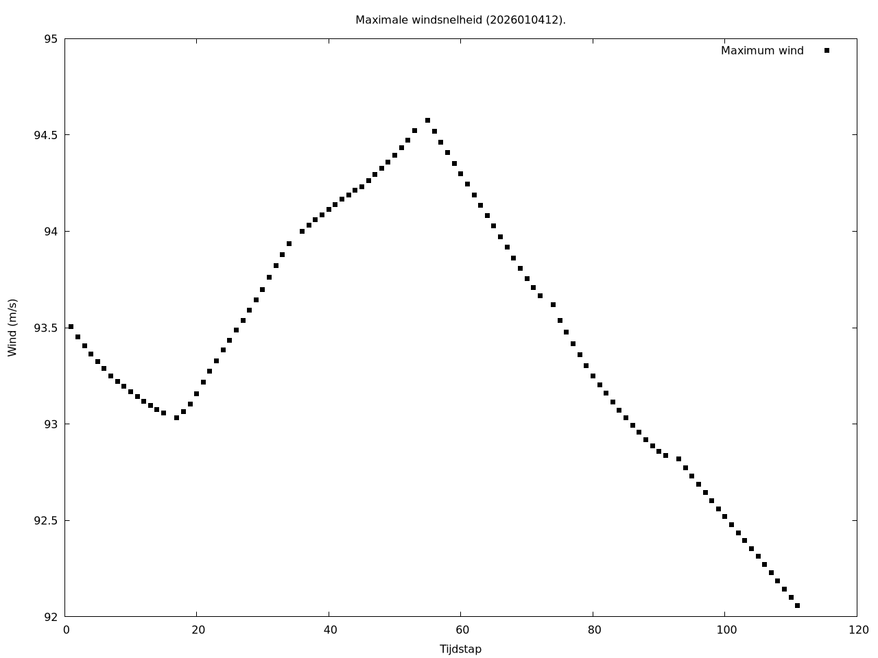
Maximum wind Verwerking SYNOP/SHIP/DRIBU -3H PNG PS -2H PNG PS -1H PNG PS +0H PNG PS +1H PNG PS 755779818
Oppervlakte PNG PS Verwerking waarnemingen -3H PNG PS -2H PNG PS -1H PNG PS +0H PNG PS +1H PNG PS 559931731
06 UTC
20260122080710 UTC Ingekomen waarnemingen -3H PNG PS -2H PNG PS -1H PNG PS +0H PNG PS +1H PNG PS +2H PNG PS
20260122095555 LOG Verwerking ASCAT -1H PNG PS +0H PNG PS +1H PNG PS 1032240
Effect waarnemingen Verwerking AIREP/AMDAR -3H PNG PS -2H PNG PS -1H PNG PS +0H PNG PS +1H PNG PS 115951
Druktendens Verwerking TEMP/PILOT +0H PNG PS 111
Maximum wind Verwerking SYNOP/SHIP/DRIBU -3H PNG PS -2H PNG PS -1H PNG PS +0H PNG PS +1H PNG PS +2H PNG PS 778778521
Oppervlakte PNG PS Verwerking waarnemingen -3H PNG PS -2H PNG PS -1H PNG PS +0H PNG PS +1H PNG PS +2H PNG PS 568481754
12 UTC
20260122140707 UTC Ingekomen waarnemingen -3H PNG PS -2H PNG PS -1H PNG PS +0H PNG PS +1H PNG PS +2H PNG PS
20260122155554 LOG Verwerking ASCAT -3H PNG PS -2H PNG PS -1H PNG PS +0H PNG PS 228353992
Effect waarnemingen Verwerking AIREP/AMDAR -3H PNG PS -2H PNG PS -1H PNG PS +0H PNG PS +1H PNG PS 22021610
Druktendens Verwerking TEMP/PILOT -3H PNG PS +0H PNG PS 11112
Maximum wind Verwerking SYNOP/SHIP/DRIBU -3H PNG PS -2H PNG PS -1H PNG PS +0H PNG PS +1H PNG PS +2H PNG PS 792481714
Oppervlakte PNG PS Verwerking waarnemingen -3H PNG PS -2H PNG PS -1H PNG PS +0H PNG PS +1H PNG PS 565421805
18 UTC
20260122200708 UTC Ingekomen waarnemingen -3H PNG PS -2H PNG PS -1H PNG PS +0H PNG PS +1H PNG PS +2H PNG PS
20260123011940 LOG Verwerking ASCAT -3H PNG PS -1H PNG PS +0H PNG PS +1H PNG PS 44282456
Effect waarnemingen Verwerking AIREP/AMDAR -3H PNG PS -2H PNG PS -1H PNG PS +0H PNG PS +1H PNG PS 2032228
Druktendens Verwerking TEMP/PILOT +0H PNG PS 80
Maximum wind Verwerking SYNOP/SHIP/DRIBU -3H PNG PS -2H PNG PS -1H PNG PS +0H PNG PS +1H PNG PS 785277318
Oppervlakte PNG PS Verwerking waarnemingen -3H PNG PS -2H PNG PS -1H PNG PS +0H PNG PS +1H PNG PS 562621775

De ingekomen waarnemingen zijn gekleurd naar hoogte volgens het cubehelix algoritme. De verwerkte waarnemingen zijn gekleurd volgens de behandeling (gebruikt, redundant of verworpen).

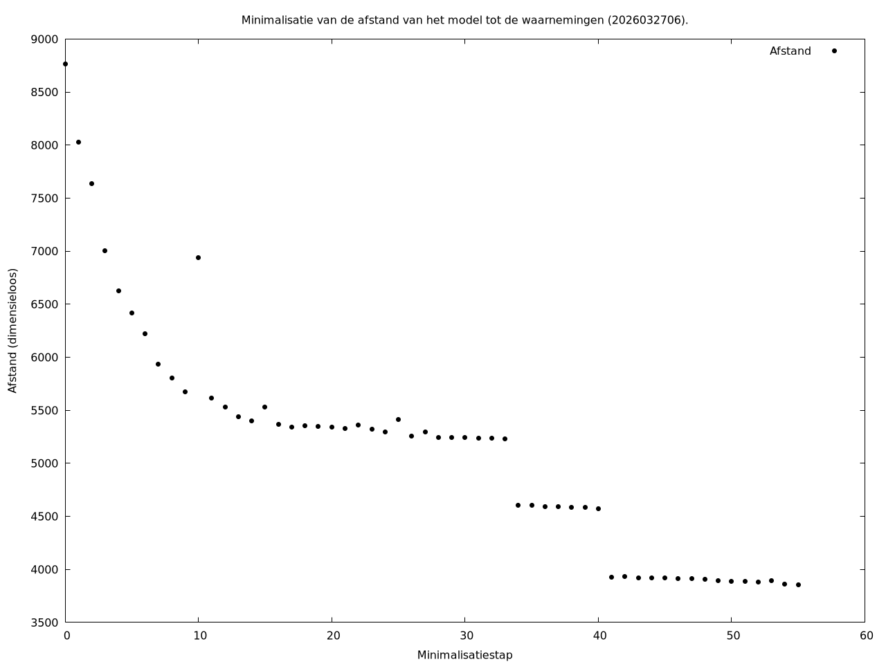
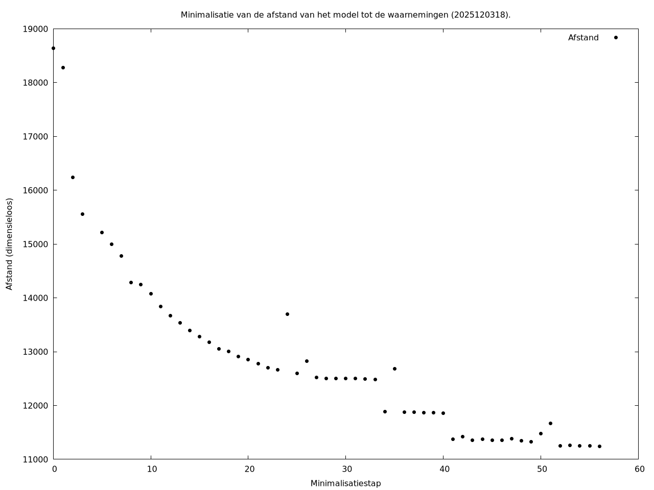
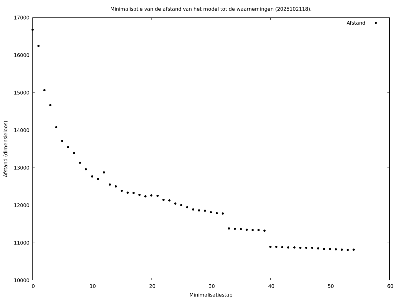
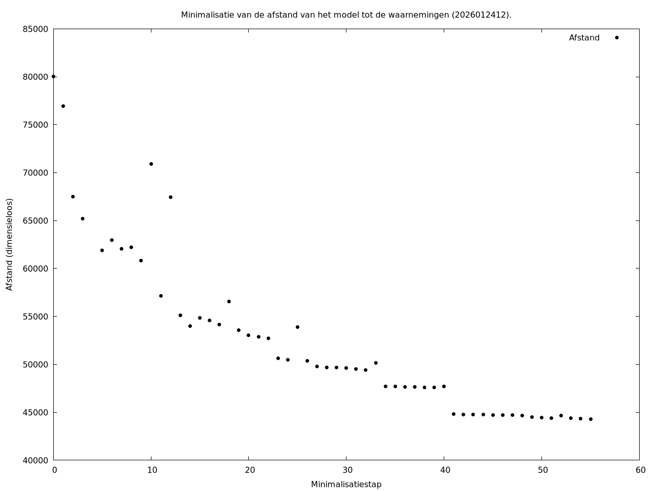
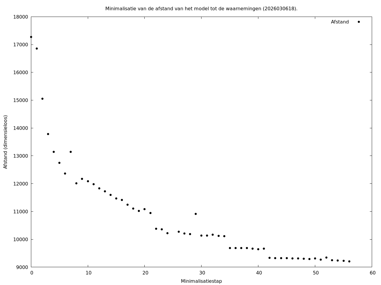
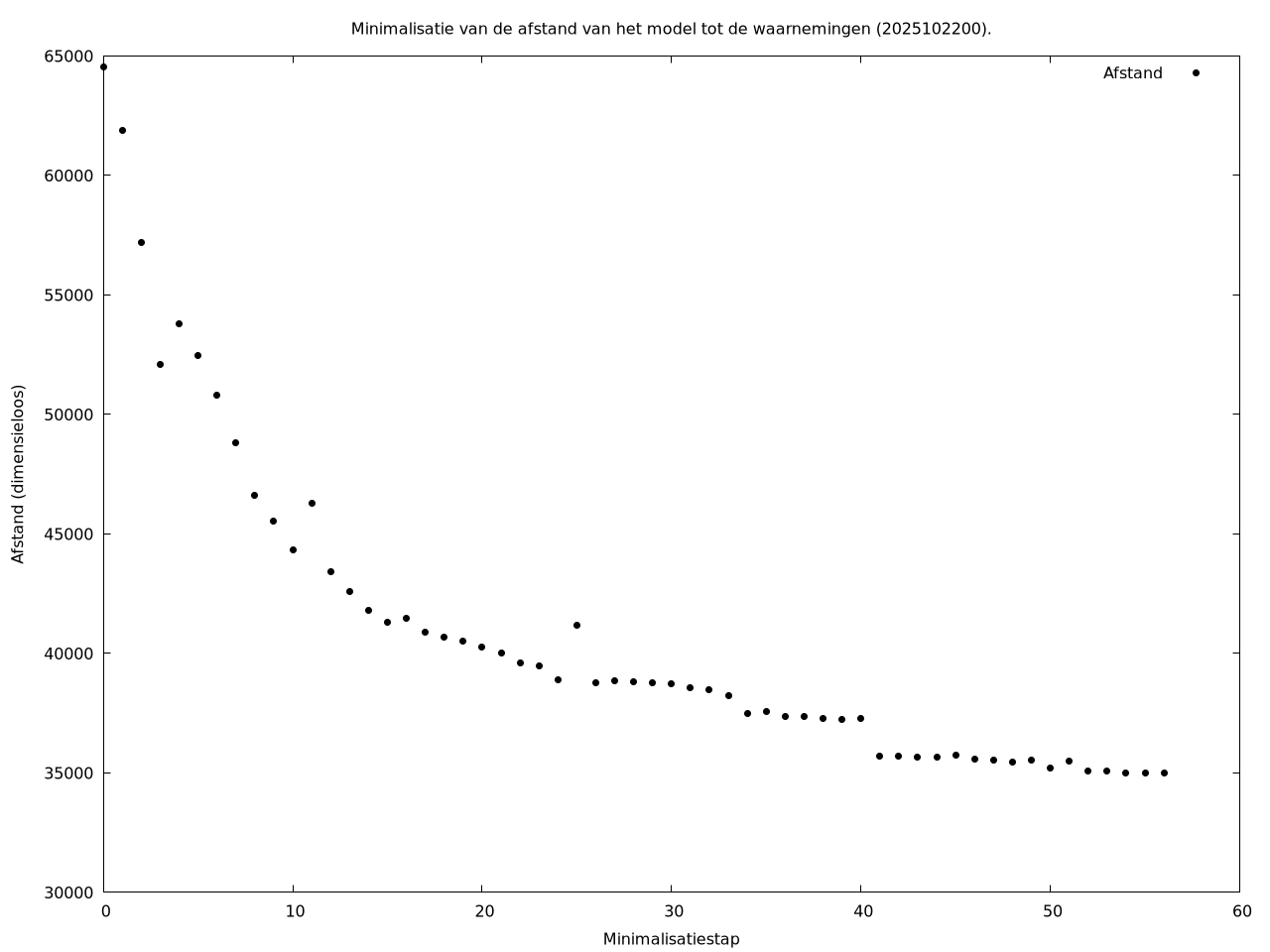
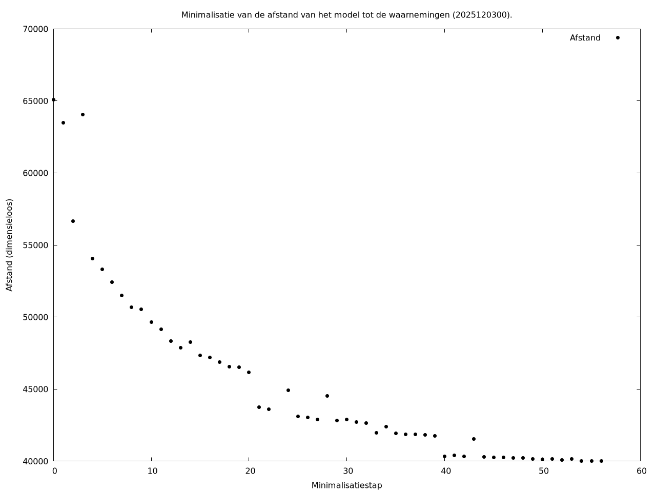
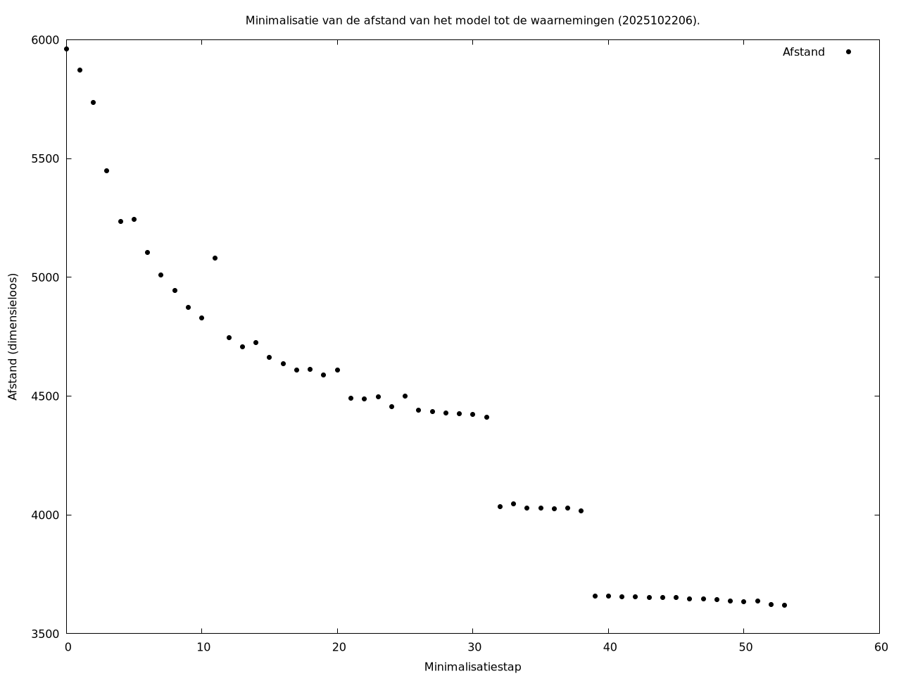
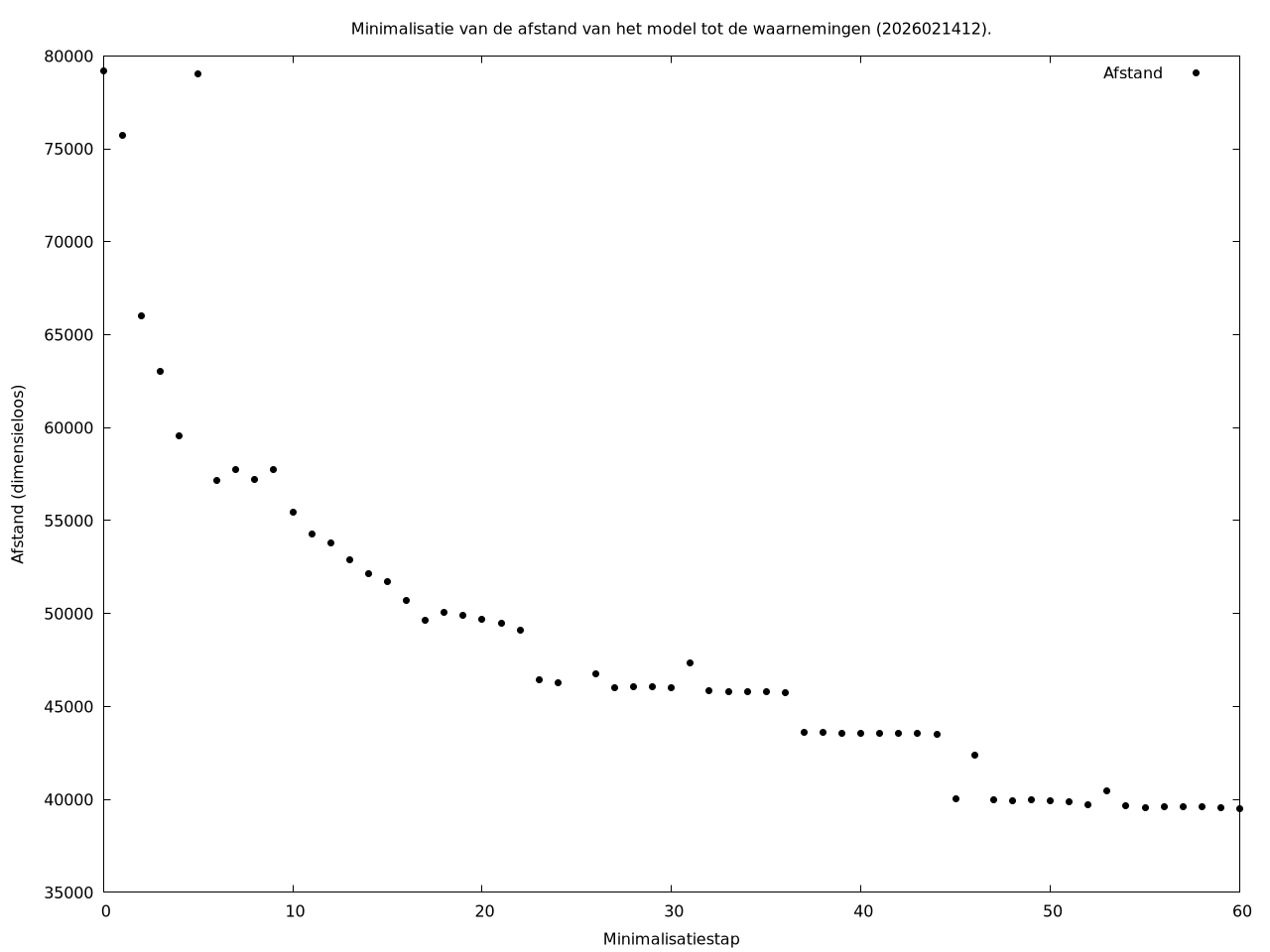
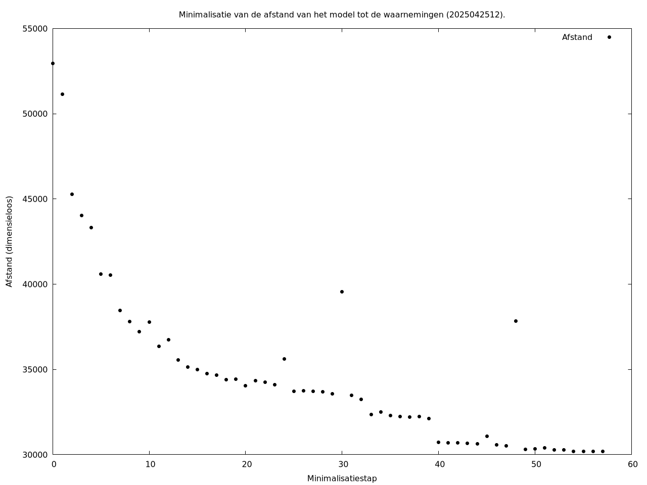
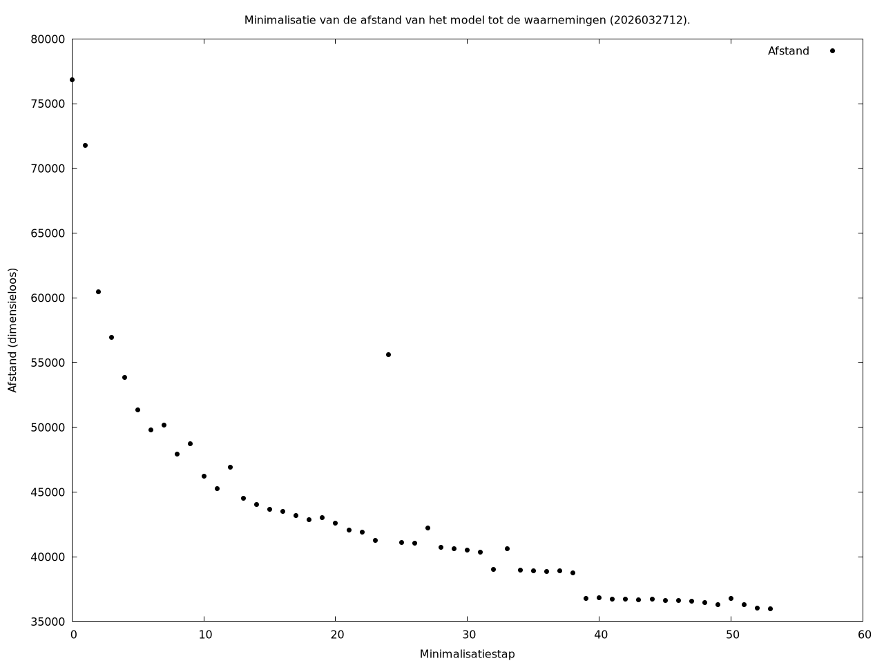
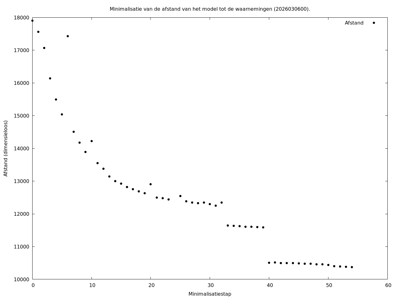
Ontwikkeling afstand tot de waarnemingen over de afgelopen 30 dagen.

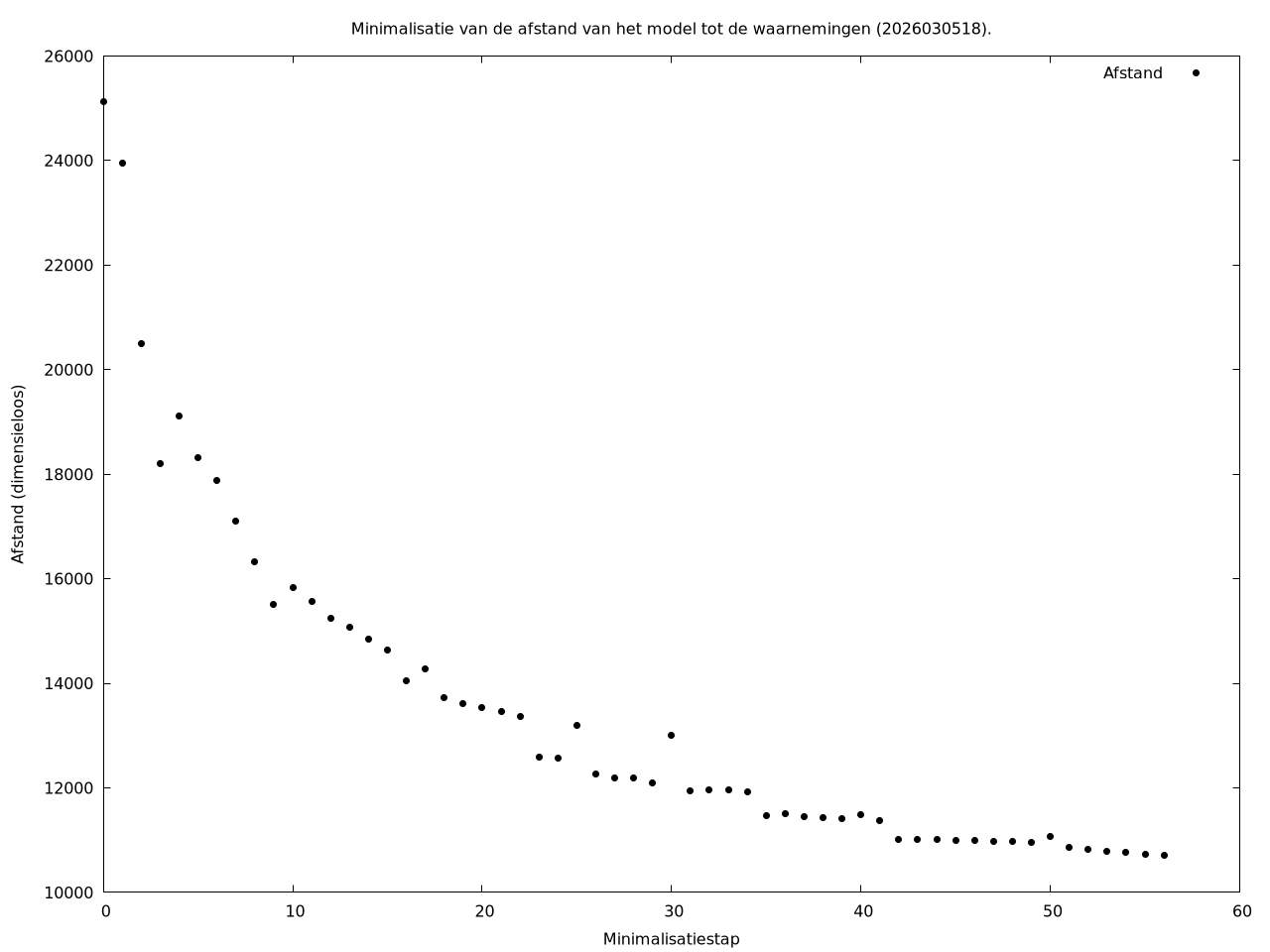
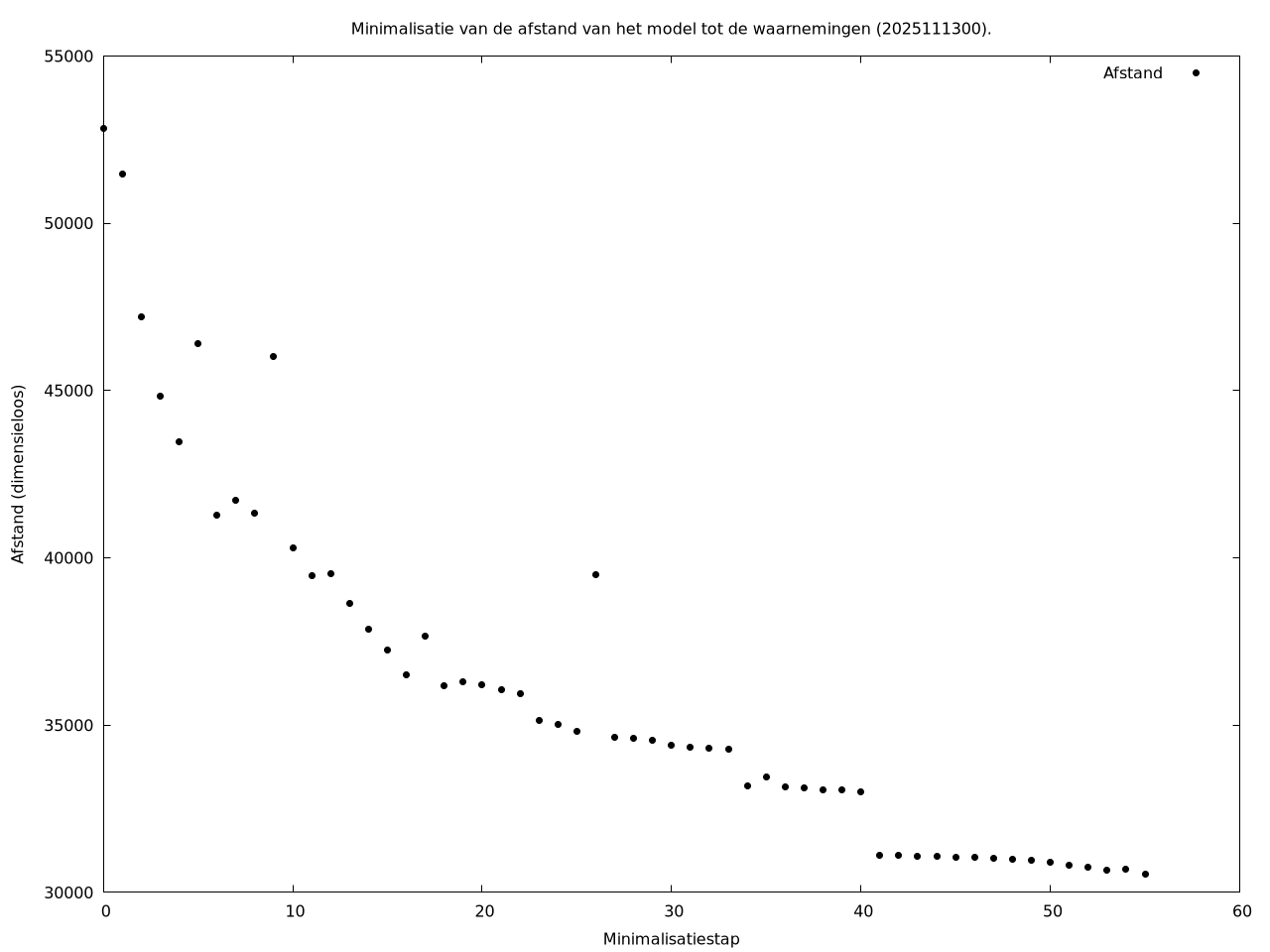
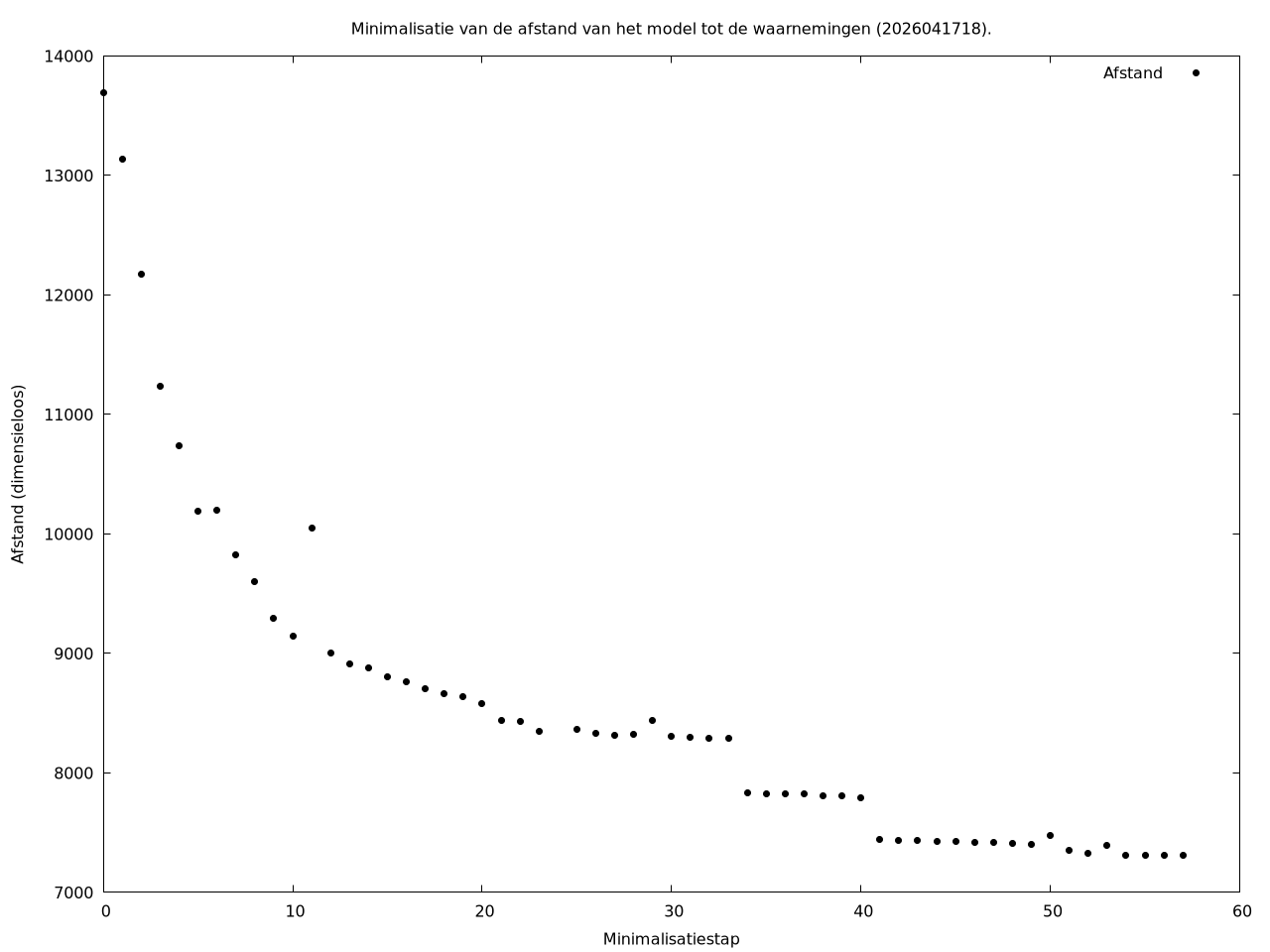
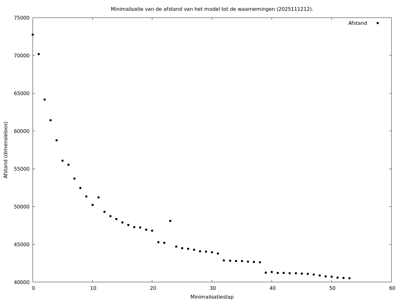
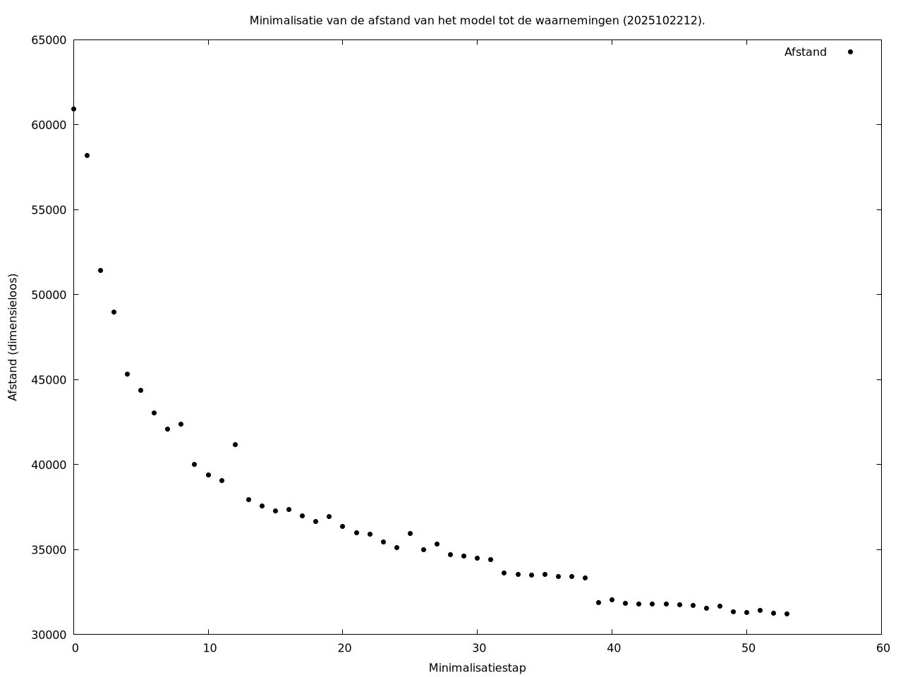
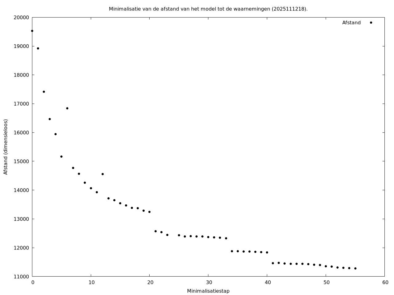
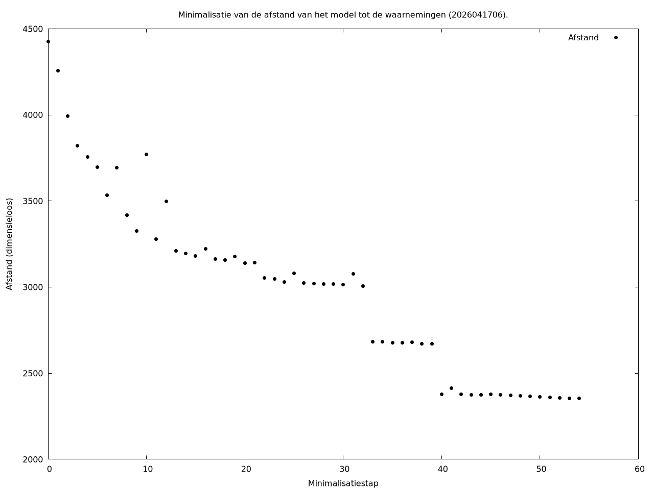
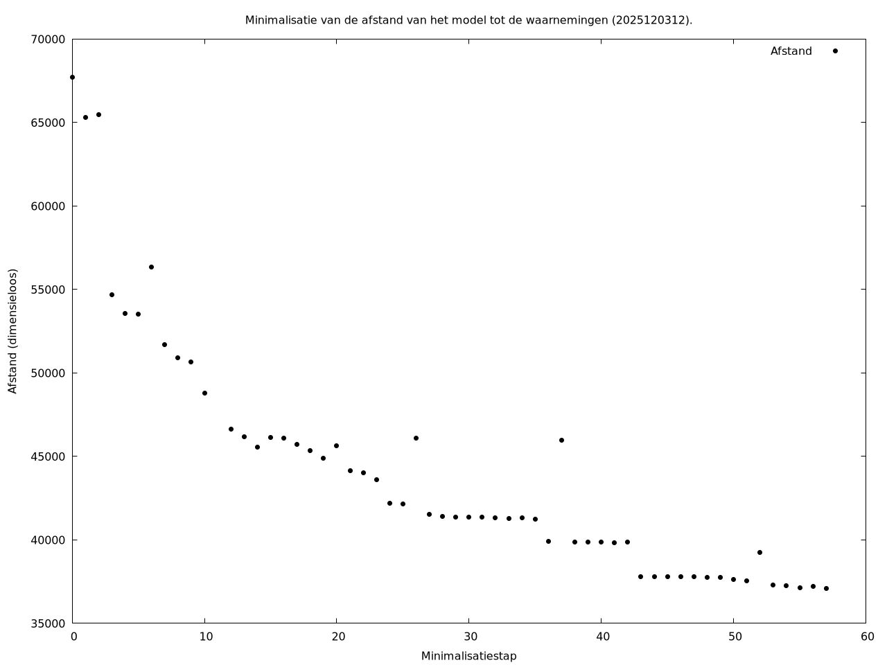
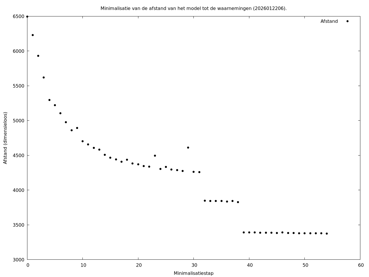
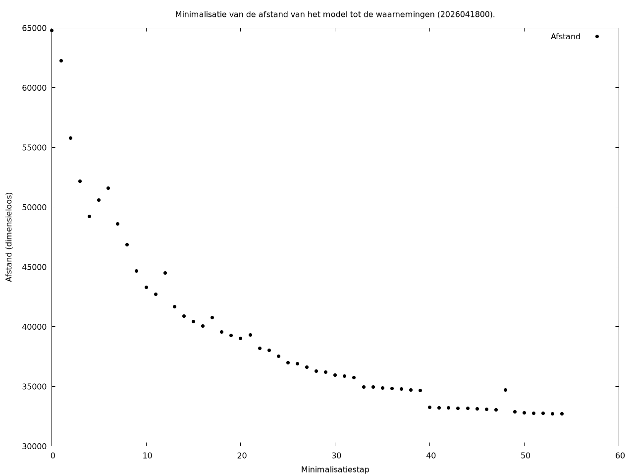
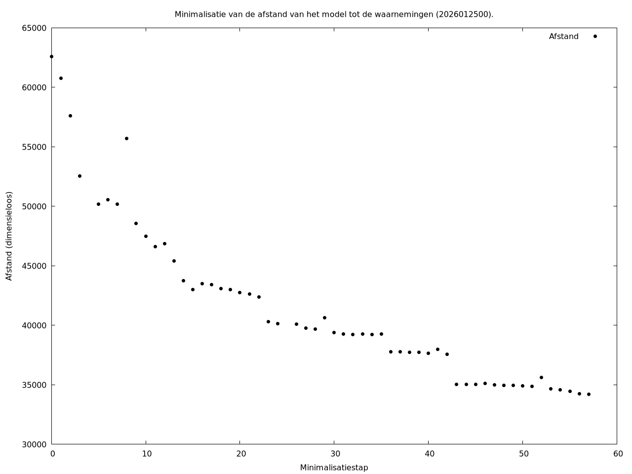
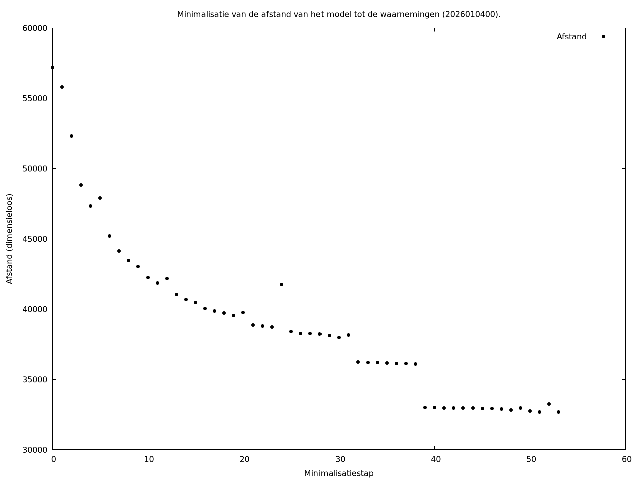
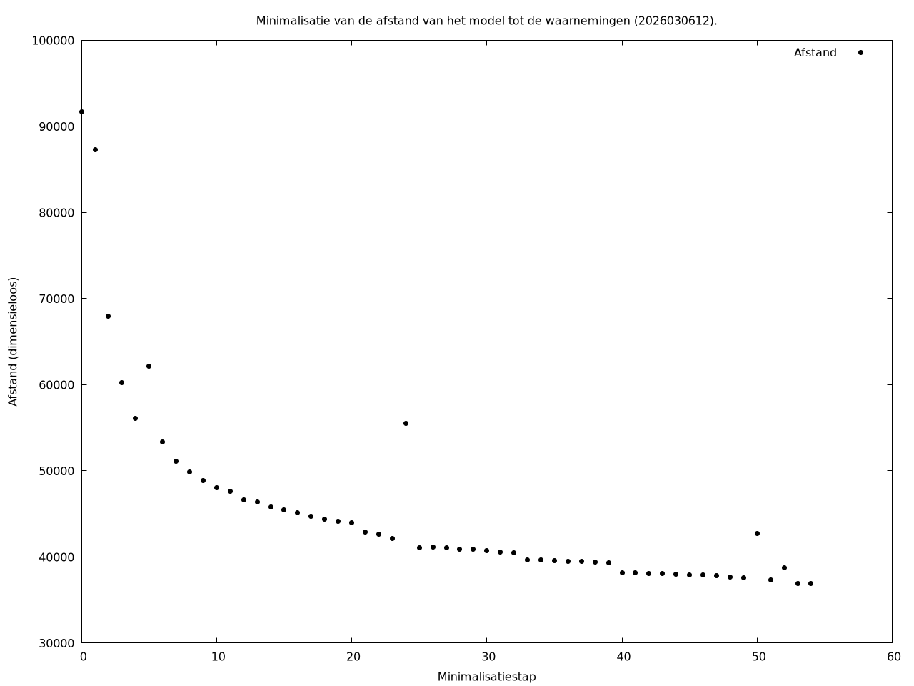
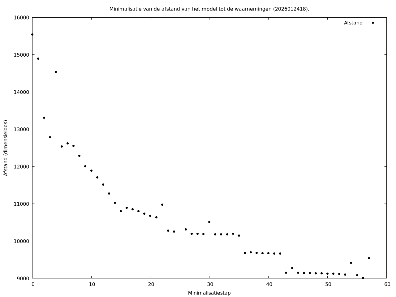
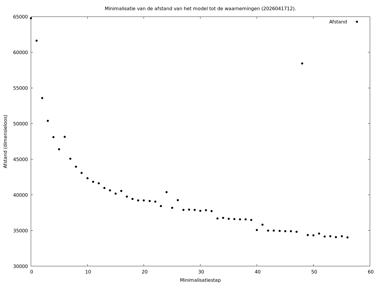
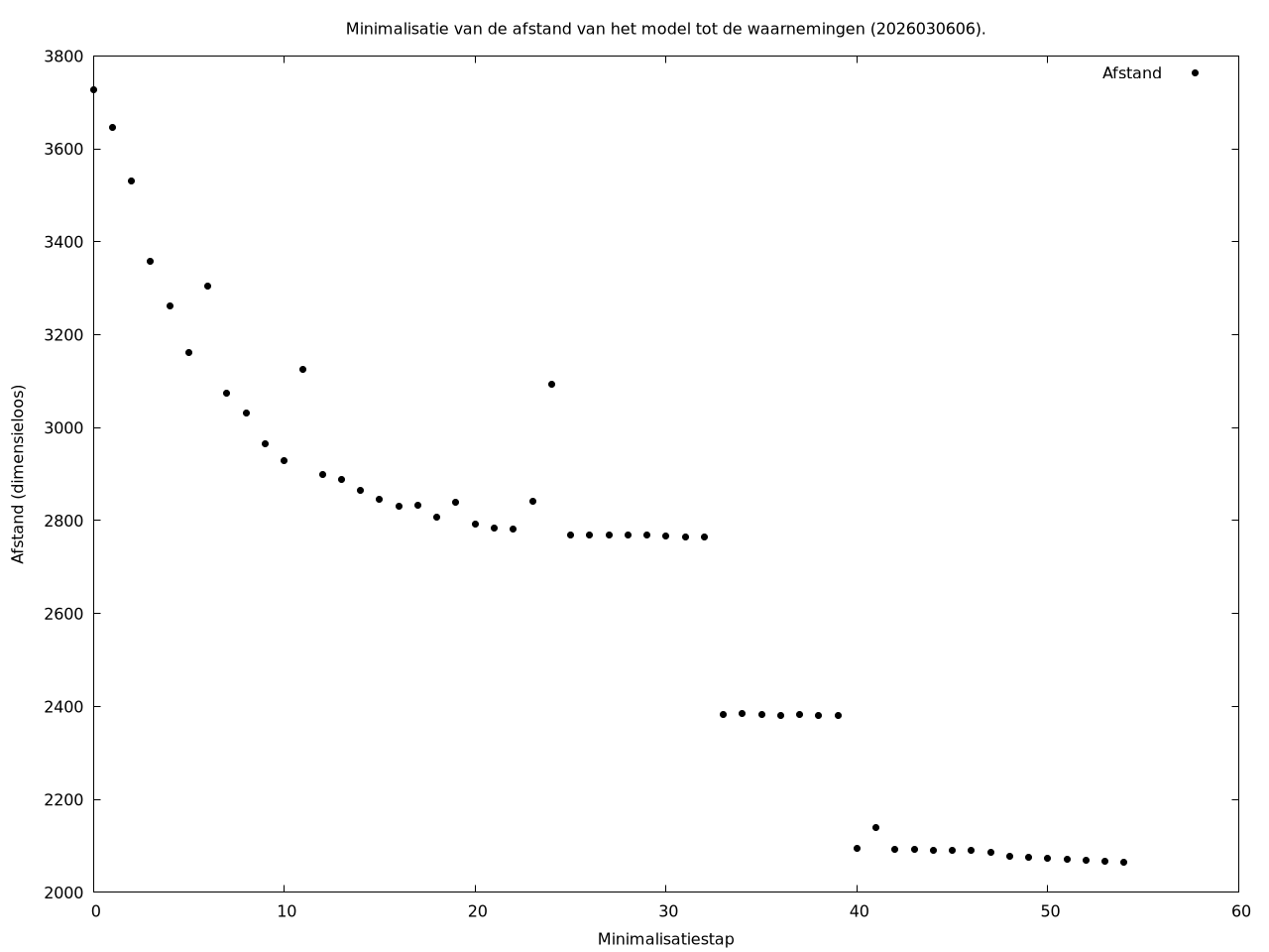
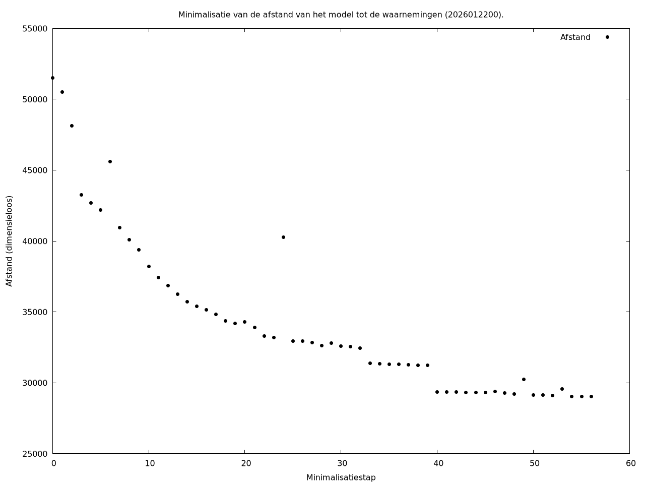
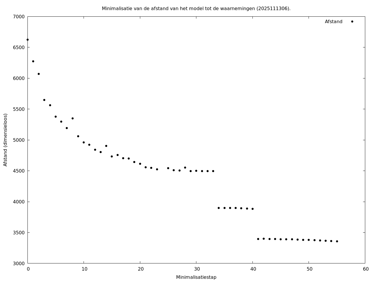
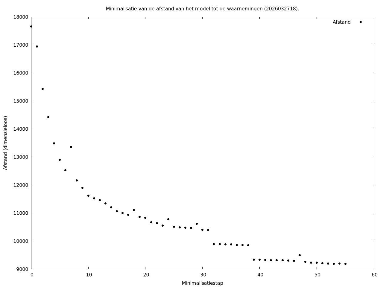
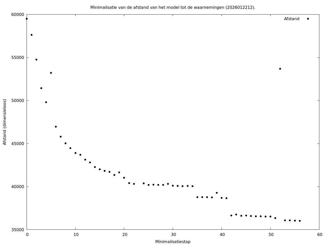
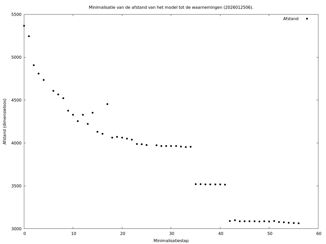
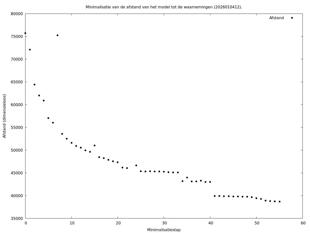
Afstand tot de waarnemingen aan het begin van de minimalisatie
Beginwaarde afstand Hoe dit te bepalen

Deze afstand geeft aan in hoeverre het model in 6 uur tijd verwijderd is geraakt van de werkelijkheid, en is dus een maat voor de (on)voorspelbaarheid van de atmosfeer in die tijdspanne.

Verificatie over de afgelopen 30 dagen

Oppervlak (tijdreeks) - Nederland
PMSL
W10M
T2M
TD2M
RH2M
CC
RR06
RR12
RR24
Oppervlak (geaggregeerd) - Nederland
PMSL W10M T2M TD2M RH2M CC RR06 RR12 RR24
Bovenlucht (geaggregeerd) - Europa
250 hPa WIND TEMP DEWP GEOP RELH
500 hPa WIND TEMP DEWP GEOP RELH
700 hPa WIND TEMP DEWP GEOP RELH
850 hPa WIND TEMP DEWP GEOP RELH
925 hPa WIND TEMP DEWP GEOP RELH
1000 hPa WIND TEMP DEWP GEOP RELH

Tijdreeksen

Locatie/Waterschap Grootheden Tabellen (verwachtingstijd gemiddelde stddev min max ...)
MeetmastCabauw
Temperatuur en dauwpunt Temperatuur Dauwpunt
Relatieve vochtigheid Relatieve vochtigheid
Windrichting Windrichting
Windsnelheid en windstoten Windsnelheid Windstoten
Neerslag; neerslagsoort Neerslag
Bewolking; latente en voelbare warmtestroom Bewolking Latente warmtestroom Voelbare warmtestroom
Zicht Zicht
Sneeuwhoogte Sneeuwhoogte
Convective Available Potential Energy; Inhibition Convective Available Potential Energy Convective Inhibition
Zonlicht en infrarood Zonlicht Infrarood
AaEnMaas
Temperatuur en dauwpunt Temperatuur Dauwpunt
Relatieve vochtigheid Relatieve vochtigheid
Windrichting Windrichting
Windsnelheid en windstoten Windsnelheid Windstoten
Neerslag; neerslagsoort Neerslag
Bewolking; latente en voelbare warmtestroom Bewolking Latente warmtestroom Voelbare warmtestroom
Zicht Zicht
Sneeuwhoogte Sneeuwhoogte
Convective Available Potential Energy; Inhibition Convective Available Potential Energy Convective Inhibition
Zonlicht en infrarood Zonlicht Infrarood
AmstelGooiEnVecht
Temperatuur en dauwpunt Temperatuur Dauwpunt
Relatieve vochtigheid Relatieve vochtigheid
Windrichting Windrichting
Windsnelheid en windstoten Windsnelheid Windstoten
Neerslag; neerslagsoort Neerslag
Bewolking; latente en voelbare warmtestroom Bewolking Latente warmtestroom Voelbare warmtestroom
Zicht Zicht
Sneeuwhoogte Sneeuwhoogte
Convective Available Potential Energy; Inhibition Convective Available Potential Energy Convective Inhibition
Zonlicht en infrarood Zonlicht Infrarood
BrabantseDelta
Temperatuur en dauwpunt Temperatuur Dauwpunt
Relatieve vochtigheid Relatieve vochtigheid
Windrichting Windrichting
Windsnelheid en windstoten Windsnelheid Windstoten
Neerslag; neerslagsoort Neerslag
Bewolking; latente en voelbare warmtestroom Bewolking Latente warmtestroom Voelbare warmtestroom
Zicht Zicht
Sneeuwhoogte Sneeuwhoogte
Convective Available Potential Energy; Inhibition Convective Available Potential Energy Convective Inhibition
Zonlicht en infrarood Zonlicht Infrarood
DeDommel
Temperatuur en dauwpunt Temperatuur Dauwpunt
Relatieve vochtigheid Relatieve vochtigheid
Windrichting Windrichting
Windsnelheid en windstoten Windsnelheid Windstoten
Neerslag; neerslagsoort Neerslag
Bewolking; latente en voelbare warmtestroom Bewolking Latente warmtestroom Voelbare warmtestroom
Zicht Zicht
Sneeuwhoogte Sneeuwhoogte
Convective Available Potential Energy; Inhibition Convective Available Potential Energy Convective Inhibition
Zonlicht en infrarood Zonlicht Infrarood
Delfland
Temperatuur en dauwpunt Temperatuur Dauwpunt
Relatieve vochtigheid Relatieve vochtigheid
Windrichting Windrichting
Windsnelheid en windstoten Windsnelheid Windstoten
Neerslag; neerslagsoort Neerslag
Bewolking; latente en voelbare warmtestroom Bewolking Latente warmtestroom Voelbare warmtestroom
Zicht Zicht
Sneeuwhoogte Sneeuwhoogte
Convective Available Potential Energy; Inhibition Convective Available Potential Energy Convective Inhibition
Zonlicht en infrarood Zonlicht Infrarood
DeStichtseRijnlanden
Temperatuur en dauwpunt Temperatuur Dauwpunt
Relatieve vochtigheid Relatieve vochtigheid
Windrichting Windrichting
Windsnelheid en windstoten Windsnelheid Windstoten
Neerslag; neerslagsoort Neerslag
Bewolking; latente en voelbare warmtestroom Bewolking Latente warmtestroom Voelbare warmtestroom
Zicht Zicht
Sneeuwhoogte Sneeuwhoogte
Convective Available Potential Energy; Inhibition Convective Available Potential Energy Convective Inhibition
Zonlicht en infrarood Zonlicht Infrarood
DrentsOverijselseDelta
Temperatuur en dauwpunt Temperatuur Dauwpunt
Relatieve vochtigheid Relatieve vochtigheid
Windrichting Windrichting
Windsnelheid en windstoten Windsnelheid Windstoten
Neerslag; neerslagsoort Neerslag
Bewolking; latente en voelbare warmtestroom Bewolking Latente warmtestroom Voelbare warmtestroom
Zicht Zicht
Sneeuwhoogte Sneeuwhoogte
Convective Available Potential Energy; Inhibition Convective Available Potential Energy Convective Inhibition
Zonlicht en infrarood Zonlicht Infrarood
HollandseDelta
Temperatuur en dauwpunt Temperatuur Dauwpunt
Relatieve vochtigheid Relatieve vochtigheid
Windrichting Windrichting
Windsnelheid en windstoten Windsnelheid Windstoten
Neerslag; neerslagsoort Neerslag
Bewolking; latente en voelbare warmtestroom Bewolking Latente warmtestroom Voelbare warmtestroom
Zicht Zicht
Sneeuwhoogte Sneeuwhoogte
Convective Available Potential Energy; Inhibition Convective Available Potential Energy Convective Inhibition
Zonlicht en infrarood Zonlicht Infrarood
HollandsNoorderkwartier
Temperatuur en dauwpunt Temperatuur Dauwpunt
Relatieve vochtigheid Relatieve vochtigheid
Windrichting Windrichting
Windsnelheid en windstoten Windsnelheid Windstoten
Neerslag; neerslagsoort Neerslag
Bewolking; latente en voelbare warmtestroom Bewolking Latente warmtestroom Voelbare warmtestroom
Zicht Zicht
Sneeuwhoogte Sneeuwhoogte
Convective Available Potential Energy; Inhibition Convective Available Potential Energy Convective Inhibition
Zonlicht en infrarood Zonlicht Infrarood
HunzeEnAas
Temperatuur en dauwpunt Temperatuur Dauwpunt
Relatieve vochtigheid Relatieve vochtigheid
Windrichting Windrichting
Windsnelheid en windstoten Windsnelheid Windstoten
Neerslag; neerslagsoort Neerslag
Bewolking; latente en voelbare warmtestroom Bewolking Latente warmtestroom Voelbare warmtestroom
Zicht Zicht
Sneeuwhoogte Sneeuwhoogte
Convective Available Potential Energy; Inhibition Convective Available Potential Energy Convective Inhibition
Zonlicht en infrarood Zonlicht Infrarood
NoorderZijlvest
Temperatuur en dauwpunt Temperatuur Dauwpunt
Relatieve vochtigheid Relatieve vochtigheid
Windrichting Windrichting
Windsnelheid en windstoten Windsnelheid Windstoten
Neerslag; neerslagsoort Neerslag
Bewolking; latente en voelbare warmtestroom Bewolking Latente warmtestroom Voelbare warmtestroom
Zicht Zicht
Sneeuwhoogte Sneeuwhoogte
Convective Available Potential Energy; Inhibition Convective Available Potential Energy Convective Inhibition
Zonlicht en infrarood Zonlicht Infrarood
RijnEnIJssel
Temperatuur en dauwpunt Temperatuur Dauwpunt
Relatieve vochtigheid Relatieve vochtigheid
Windrichting Windrichting
Windsnelheid en windstoten Windsnelheid Windstoten
Neerslag; neerslagsoort Neerslag
Bewolking; latente en voelbare warmtestroom Bewolking Latente warmtestroom Voelbare warmtestroom
Zicht Zicht
Sneeuwhoogte Sneeuwhoogte
Convective Available Potential Energy; Inhibition Convective Available Potential Energy Convective Inhibition
Zonlicht en infrarood Zonlicht Infrarood
Rijnland
Temperatuur en dauwpunt Temperatuur Dauwpunt
Relatieve vochtigheid Relatieve vochtigheid
Windrichting Windrichting
Windsnelheid en windstoten Windsnelheid Windstoten
Neerslag; neerslagsoort Neerslag
Bewolking; latente en voelbare warmtestroom Bewolking Latente warmtestroom Voelbare warmtestroom
Zicht Zicht
Sneeuwhoogte Sneeuwhoogte
Convective Available Potential Energy; Inhibition Convective Available Potential Energy Convective Inhibition
Zonlicht en infrarood Zonlicht Infrarood
Rivierenland
Temperatuur en dauwpunt Temperatuur Dauwpunt
Relatieve vochtigheid Relatieve vochtigheid
Windrichting Windrichting
Windsnelheid en windstoten Windsnelheid Windstoten
Neerslag; neerslagsoort Neerslag
Bewolking; latente en voelbare warmtestroom Bewolking Latente warmtestroom Voelbare warmtestroom
Zicht Zicht
Sneeuwhoogte Sneeuwhoogte
Convective Available Potential Energy; Inhibition Convective Available Potential Energy Convective Inhibition
Zonlicht en infrarood Zonlicht Infrarood
ScheldeStromen
Temperatuur en dauwpunt Temperatuur Dauwpunt
Relatieve vochtigheid Relatieve vochtigheid
Windrichting Windrichting
Windsnelheid en windstoten Windsnelheid Windstoten
Neerslag; neerslagsoort Neerslag
Bewolking; latente en voelbare warmtestroom Bewolking Latente warmtestroom Voelbare warmtestroom
Zicht Zicht
Sneeuwhoogte Sneeuwhoogte
Convective Available Potential Energy; Inhibition Convective Available Potential Energy Convective Inhibition
Zonlicht en infrarood Zonlicht Infrarood
SchielandEnKrimpenerwaard
Temperatuur en dauwpunt Temperatuur Dauwpunt
Relatieve vochtigheid Relatieve vochtigheid
Windrichting Windrichting
Windsnelheid en windstoten Windsnelheid Windstoten
Neerslag; neerslagsoort Neerslag
Bewolking; latente en voelbare warmtestroom Bewolking Latente warmtestroom Voelbare warmtestroom
Zicht Zicht
Sneeuwhoogte Sneeuwhoogte
Convective Available Potential Energy; Inhibition Convective Available Potential Energy Convective Inhibition
Zonlicht en infrarood Zonlicht Infrarood
ValleiEnVeluwe
Temperatuur en dauwpunt Temperatuur Dauwpunt
Relatieve vochtigheid Relatieve vochtigheid
Windrichting Windrichting
Windsnelheid en windstoten Windsnelheid Windstoten
Neerslag; neerslagsoort Neerslag
Bewolking; latente en voelbare warmtestroom Bewolking Latente warmtestroom Voelbare warmtestroom
Zicht Zicht
Sneeuwhoogte Sneeuwhoogte
Convective Available Potential Energy; Inhibition Convective Available Potential Energy Convective Inhibition
Zonlicht en infrarood Zonlicht Infrarood
VechtStromen
Temperatuur en dauwpunt Temperatuur Dauwpunt
Relatieve vochtigheid Relatieve vochtigheid
Windrichting Windrichting
Windsnelheid en windstoten Windsnelheid Windstoten
Neerslag; neerslagsoort Neerslag
Bewolking; latente en voelbare warmtestroom Bewolking Latente warmtestroom Voelbare warmtestroom
Zicht Zicht
Sneeuwhoogte Sneeuwhoogte
Convective Available Potential Energy; Inhibition Convective Available Potential Energy Convective Inhibition
Zonlicht en infrarood Zonlicht Infrarood
WaterschapLimburg
Temperatuur en dauwpunt Temperatuur Dauwpunt
Relatieve vochtigheid Relatieve vochtigheid
Windrichting Windrichting
Windsnelheid en windstoten Windsnelheid Windstoten
Neerslag; neerslagsoort Neerslag
Bewolking; latente en voelbare warmtestroom Bewolking Latente warmtestroom Voelbare warmtestroom
Zicht Zicht
Sneeuwhoogte Sneeuwhoogte
Convective Available Potential Energy; Inhibition Convective Available Potential Energy Convective Inhibition
Zonlicht en infrarood Zonlicht Infrarood
WetterskipFryslan
Temperatuur en dauwpunt Temperatuur Dauwpunt
Relatieve vochtigheid Relatieve vochtigheid
Windrichting Windrichting
Windsnelheid en windstoten Windsnelheid Windstoten
Neerslag; neerslagsoort Neerslag
Bewolking; latente en voelbare warmtestroom Bewolking Latente warmtestroom Voelbare warmtestroom
Zicht Zicht
Sneeuwhoogte Sneeuwhoogte
Convective Available Potential Energy; Inhibition Convective Available Potential Energy Convective Inhibition
Zonlicht en infrarood Zonlicht Infrarood
Zuiderzeeland
Temperatuur en dauwpunt Temperatuur Dauwpunt
Relatieve vochtigheid Relatieve vochtigheid
Windrichting Windrichting
Windsnelheid en windstoten Windsnelheid Windstoten
Neerslag; neerslagsoort Neerslag
Bewolking; latente en voelbare warmtestroom Bewolking Latente warmtestroom Voelbare warmtestroom
Zicht Zicht
Sneeuwhoogte Sneeuwhoogte
Convective Available Potential Energy; Inhibition Convective Available Potential Energy Convective Inhibition
Zonlicht en infrarood Zonlicht Infrarood
Leverkusen
Temperatuur en dauwpunt Temperatuur Dauwpunt
Relatieve vochtigheid Relatieve vochtigheid
Windrichting Windrichting
Windsnelheid en windstoten Windsnelheid Windstoten
Neerslag; neerslagsoort Neerslag
Bewolking; latente en voelbare warmtestroom Bewolking Latente warmtestroom Voelbare warmtestroom
Zicht Zicht
Sneeuwhoogte Sneeuwhoogte
Convective Available Potential Energy; Inhibition Convective Available Potential Energy Convective Inhibition
Zonlicht en infrarood Zonlicht Infrarood
Copenhagen
Temperatuur en dauwpunt Temperatuur Dauwpunt
Relatieve vochtigheid Relatieve vochtigheid
Windrichting Windrichting
Windsnelheid en windstoten Windsnelheid Windstoten
Neerslag; neerslagsoort Neerslag
Bewolking; latente en voelbare warmtestroom Bewolking Latente warmtestroom Voelbare warmtestroom
Zicht Zicht
Sneeuwhoogte Sneeuwhoogte
Convective Available Potential Energy; Inhibition Convective Available Potential Energy Convective Inhibition
Zonlicht en infrarood Zonlicht Infrarood
L-Anse-aux-Meadows
Temperatuur en dauwpunt Temperatuur Dauwpunt
Relatieve vochtigheid Relatieve vochtigheid
Windrichting Windrichting
Windsnelheid en windstoten Windsnelheid Windstoten
Neerslag; neerslagsoort Neerslag
Bewolking; latente en voelbare warmtestroom Bewolking Latente warmtestroom Voelbare warmtestroom
Zicht Zicht
Sneeuwhoogte Sneeuwhoogte
Convective Available Potential Energy; Inhibition Convective Available Potential Energy Convective Inhibition
Zonlicht en infrarood Zonlicht Infrarood
Reading
Temperatuur en dauwpunt Temperatuur Dauwpunt
Relatieve vochtigheid Relatieve vochtigheid
Windrichting Windrichting
Windsnelheid en windstoten Windsnelheid Windstoten
Neerslag; neerslagsoort Neerslag
Bewolking; latente en voelbare warmtestroom Bewolking Latente warmtestroom Voelbare warmtestroom
Zicht Zicht
Sneeuwhoogte Sneeuwhoogte
Convective Available Potential Energy; Inhibition Convective Available Potential Energy Convective Inhibition
Zonlicht en infrarood Zonlicht Infrarood
Exeter
Temperatuur en dauwpunt Temperatuur Dauwpunt
Relatieve vochtigheid Relatieve vochtigheid
Windrichting Windrichting
Windsnelheid en windstoten Windsnelheid Windstoten
Neerslag; neerslagsoort Neerslag
Bewolking; latente en voelbare warmtestroom Bewolking Latente warmtestroom Voelbare warmtestroom
Zicht Zicht
Sneeuwhoogte Sneeuwhoogte
Convective Available Potential Energy; Inhibition Convective Available Potential Energy Convective Inhibition
Zonlicht en infrarood Zonlicht Infrarood
Madrid
Temperatuur en dauwpunt Temperatuur Dauwpunt
Relatieve vochtigheid Relatieve vochtigheid
Windrichting Windrichting
Windsnelheid en windstoten Windsnelheid Windstoten
Neerslag; neerslagsoort Neerslag
Bewolking; latente en voelbare warmtestroom Bewolking Latente warmtestroom Voelbare warmtestroom
Zicht Zicht
Sneeuwhoogte Sneeuwhoogte
Convective Available Potential Energy; Inhibition Convective Available Potential Energy Convective Inhibition
Zonlicht en infrarood Zonlicht Infrarood
Dublin
Temperatuur en dauwpunt Temperatuur Dauwpunt
Relatieve vochtigheid Relatieve vochtigheid
Windrichting Windrichting
Windsnelheid en windstoten Windsnelheid Windstoten
Neerslag; neerslagsoort Neerslag
Bewolking; latente en voelbare warmtestroom Bewolking Latente warmtestroom Voelbare warmtestroom
Zicht Zicht
Sneeuwhoogte Sneeuwhoogte
Convective Available Potential Energy; Inhibition Convective Available Potential Energy Convective Inhibition
Zonlicht en infrarood Zonlicht Infrarood
Moscow
Temperatuur en dauwpunt Temperatuur Dauwpunt
Relatieve vochtigheid Relatieve vochtigheid
Windrichting Windrichting
Windsnelheid en windstoten Windsnelheid Windstoten
Neerslag; neerslagsoort Neerslag
Bewolking; latente en voelbare warmtestroom Bewolking Latente warmtestroom Voelbare warmtestroom
Zicht Zicht
Sneeuwhoogte Sneeuwhoogte
Convective Available Potential Energy; Inhibition Convective Available Potential Energy Convective Inhibition
Zonlicht en infrarood Zonlicht Infrarood
EastJerusalem
Temperatuur en dauwpunt Temperatuur Dauwpunt
Relatieve vochtigheid Relatieve vochtigheid
Windrichting Windrichting
Windsnelheid en windstoten Windsnelheid Windstoten
Neerslag; neerslagsoort Neerslag
Bewolking; latente en voelbare warmtestroom Bewolking Latente warmtestroom Voelbare warmtestroom
Zicht Zicht
Sneeuwhoogte Sneeuwhoogte
Convective Available Potential Energy; Inhibition Convective Available Potential Energy Convective Inhibition
Zonlicht en infrarood Zonlicht Infrarood